1 Pages (7 items)
How to get real roort in symbolic? - Messages
#1 Posted: 9/1/2025 2:12:25 PM
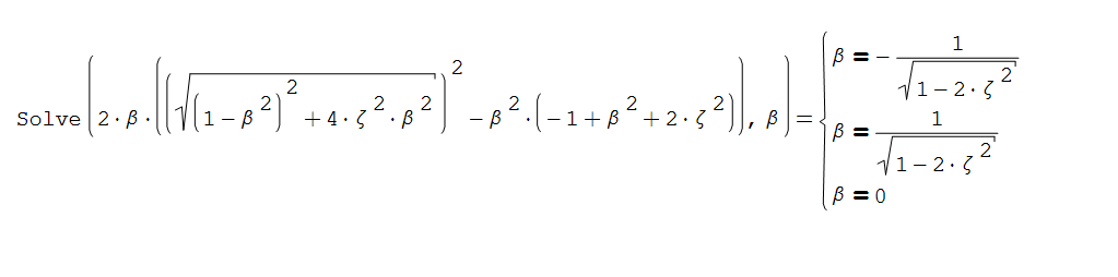
I want to get the real root in symbolic (in red frame) , but solve and maple solve always give me imaginary root (in blue frame).
Worksheet3.sm (14.28 KiB) downloaded 893 time(s).
Worksheet3.sm (14.28 KiB) downloaded 893 time(s).

Edited 9/1/2025 2:15:20 PM
#2 Posted: 9/1/2025 6:09:17 PM
#4 Posted: 9/2/2025 2:59:36 AM
#6 Posted: 10/21/2025 12:38:56 PM
@Oscar Campo
I can't get answer as you show in the pic. Please see the attached.
real root.sm (11.49 KiB) downloaded 506 time(s).
I can't get answer as you show in the pic. Please see the attached.
real root.sm (11.49 KiB) downloaded 506 time(s).
#7 Posted: 10/30/2025 8:05:33 PM
1 Pages (7 items)
- New Posts
- No New Posts






